logo aglasem.com

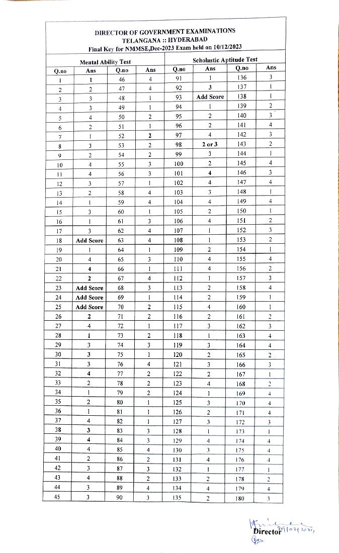
TS NMMS 2023 Answer Key

TS NMMS 2023 Answer Key More Detail
TS NMMS 2023 Answer Key - Page 1

TS Board

Telangana Board are the State level education boards in India. Here, the boards are BSE Telangana and TSBIE. While Board of Secondary Education Telangana (BSE Telangana) is for SSC students. The Telangana State Board of Intermediate Education (TSBIE) is for Inter 2nd Year.